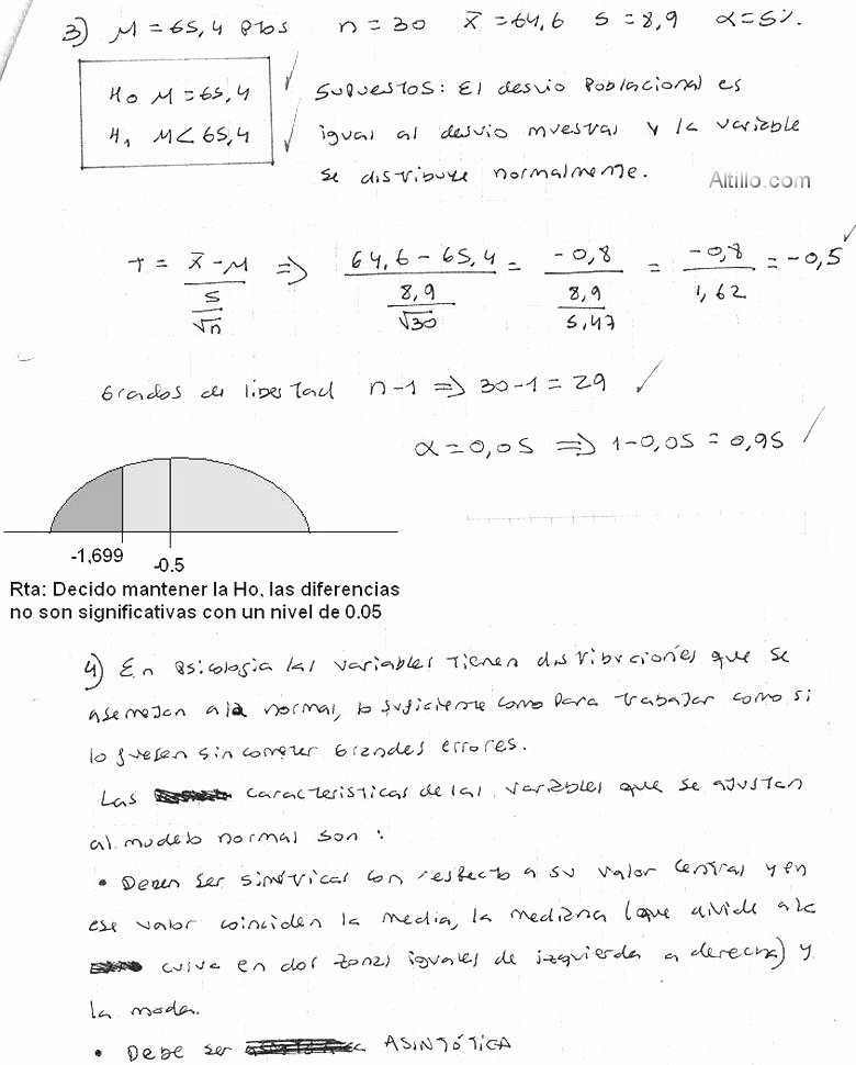
Altillo.com > Exámenes > UBA - Psicología > Estadística

Estadística

2° Parcial

Cátedra: Atorresi

1° Cuat. de 2011

Altillo.com