Altillo.com > Exámenes > UBA - Ciencias Exactas > Análisis II
|
Análisis II |
2º Parcial |
Tema 1 |
11 / 7 / 98 |
Altillo.com |
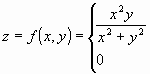
1) Hallar (..en caso de que exista..) el plano tangente a la superficie z
= f (x,y) en los puntos
y
siendo:
si 
2_a) Encontrar tres números reales no negativos cuya suma sea 6 y la suma de
sus cuadrados sea máxima.
b) Encontrar tres números reales no negativos cuya suma sea 6 y la suma de sus
cubos sea mínima.
3) Calcular la siguiente integral:
siendo 
4) Hallar los máximos y mínimos locales de la siguiente función: 

5_a) Decidir si existe alguna función
que cumpla con los siguientes requisitos:
i) 
ii) F(0,1) = 0
En caso de que exista una tal función F, escriba su fórmula explícita.
b) Decidir si existe, o no, una función diferenciable
tal que
1) Ø(0) = 0
2) 
En caso de que una tal Ø exista, calcular Ø’(0)
Respuestas abajo.
Respuestas
3) 
5_a)