Altillo.com > Exámenes > UBA - Económicas > Análisis

Análisis

1º Parcial

Sede San Isidro

2° Cuat. de 2005

Altillo.com

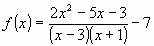
1) Hallar las ecuaciones de las asíntotas verticales y horizontales de .

2) Sea    si   x > 2. Hallar a perteneciente a R para que la función f resulte continua en X=2.

3) Calcular la pendiente de la recta tangente al gráfico de en el punto de abscisa X0 = - 2.

4) La función de costo total está dada por C (q) = 520 + ln ( q2 - 8 q + 25 ). Determinar q de modo que el costo sea mínimo y hallar para que valores de q la función de costo es decreciente.