Altillo.com > Exámenes > UBA - Económicas > Análisis

Análisis

2° Parcial

Tema 3

1° Cuat. de 1997

Altillo.com

1) Calcular el .

2) Sea , dada por .

Calcular a para que f sea continua en x = 5.

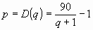
3) La función de demanda de cierto producto es para . Si el punto de equilibrio es (14 , 5), calcular el excedente del consumidor.

4) Estudiar la convergencia de la serie . Justifique la respuesta.

Respuestas al pie de página

 


 

Respuestas

1)
2)
3) E. C. = 173,72
4) La serie converge