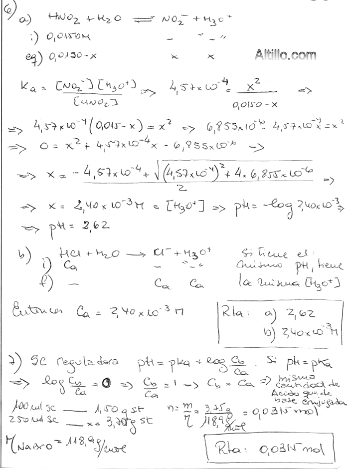
Altillo.com > Exámenes > UBA - CBC > Química


2° Cuat. de 2014  |  Examen Final (B)  |  Cátedra: Unica