Altillo.com > Exámenes > UBA - CBC > Química
|
Química |
2° Examen Parcial |
1° Cuat. de 2011 |
Altillo.com |
1) Se tiene en un recipiente rígido una mezcla gaseosa de oxígeno y nitrógeno.
a) A temperatura constante se agrega oxígeno, ¿La presión de nitrógeno varía?
b) Si se aumenta la temperatura ¿La densidad varía?
2) Se hacen reaccionar 90,0 g de Cl2 con 110g de Na O H (aq). Si el rendimiento
de la reacción es del 70% calcular la masa de Na Cl O H que se obtienen.
3) Calcular el volumen de 90 g Cl2 a CNPT
N=1,2676 mol
4) -
5) Se tiene una solución de 8,00 g H Cl O4 (masa molar de H Cl O4 100g/mol). Se
agrega agua hasta los 4 L. Calcular el ph de la solución final.
6) -
7) Ordenar según molaridad decreciente
a) Solución de Mg (OH)2 ph=9,00
b) Solución K O H ph=9,50
c) Solución Na O H ph=9,00
8) Se dispone de una solución 4,00 x 10-3 molar de ácido láctico. Calcular el ph
de la solución.
9) Si a una solución de ácido láctico le agrego lactato de sodio, ¿Qué le ocurre
al ph?
10) Ordenar según fuerza básica creciente:
a) Kb=4,37x10-4
b) pkb=4,75
c) pka=4,75
11) Se mezclan 8 L de una solución acuosa de metilamina 0,600 M con 0,600 mol de
metilamonio (pkb=3,38). Calcular el ph.
12) -
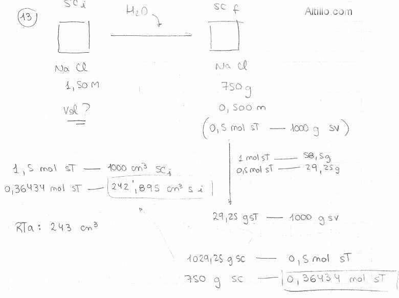
13) Se tiene una solución de cloruro de sodio 1,50 M y se agrega agua hasta los
750 g (0,500m). Calcular el volumen de la solución inicial.
14) Se dispone de cuatro soluciones, todas de concentración 0,333% m/v.
Ordenarlas según molaridad decreciente si el soluto es:
a) Na Cl
b) Na N O3
c) K Cl










