Altillo.com
>
Exámenes
>
UBA - CBC
>
Matemática
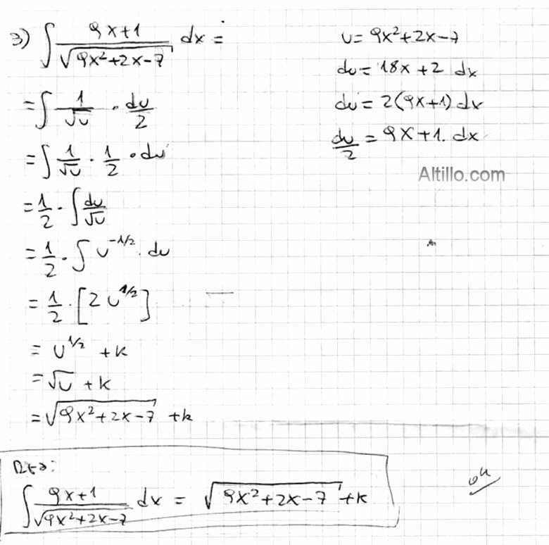
Matemática
2º Parcial
Cátedra: Gutiérrez
1° Cuat. de 2012
Altillo.com