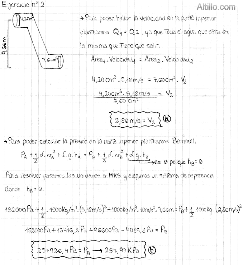
Altillo.com > Exámenes > UBA - CBC > Biofísica

Biofísica 1º Parcial 2° Cuat. de 2012 Altillo.com