Altillo.com > Exámenes > UBA - CBC > Análisis

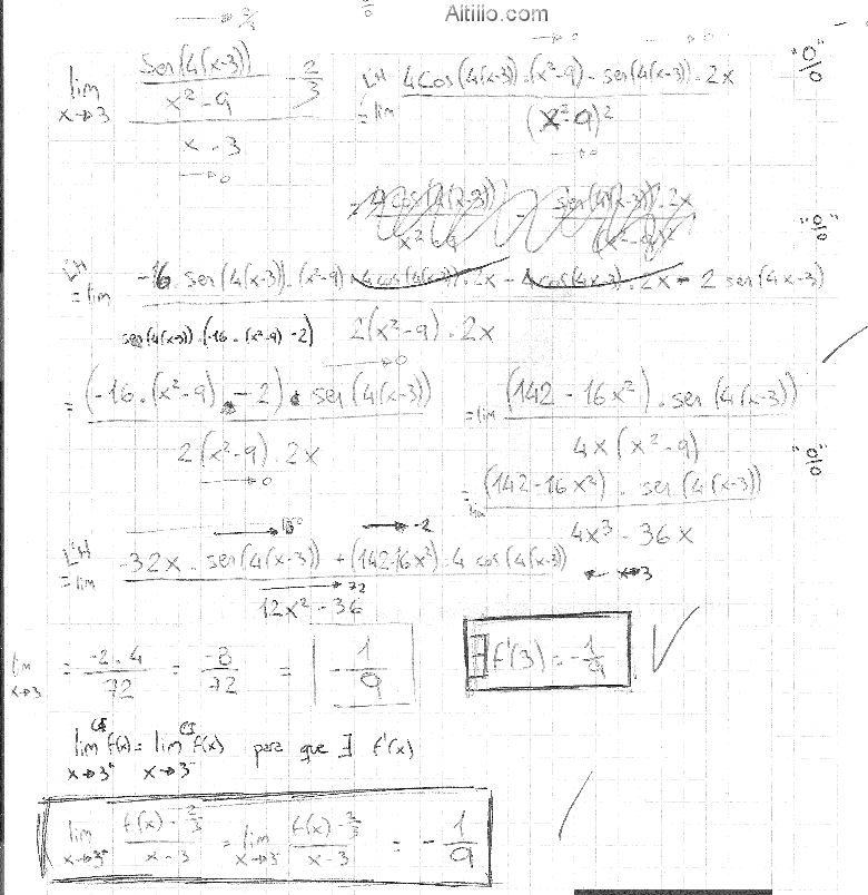
Análisis

1º Parcial

Cátedra: única (Gutiérrez) Sede: Ciudad Universitaria

2º Cuat. de 2010

Altillo.com