Altillo.com > Exámenes > UBA - CBC > Análisis

Análisis

1º Parcial

Cátedra: única (Gutierrez)

1º Cuat. de 2006

Altillo.com

En cada ejercicio escriba todos los razonamientos que justifican la respuesta

1) Escribir el conjunto A = como un intervalo o unión de intervalos.

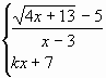
2) Sea f (x) =   Si x   Si x>3   Hallar el valor de kєR para que la función f sea continua en X=3 .  RESPUESTA: k= -11/5 la función va a ser continua en X=3

 

3) Calcular la pendiente de la recta tangente al grafico de f (x) = en el punto ( 3, f (3) ) .

 

4) Dada f (x) = , dar dominio, intervalos de crecimiento y de decrecimiento y extremos locales de f .