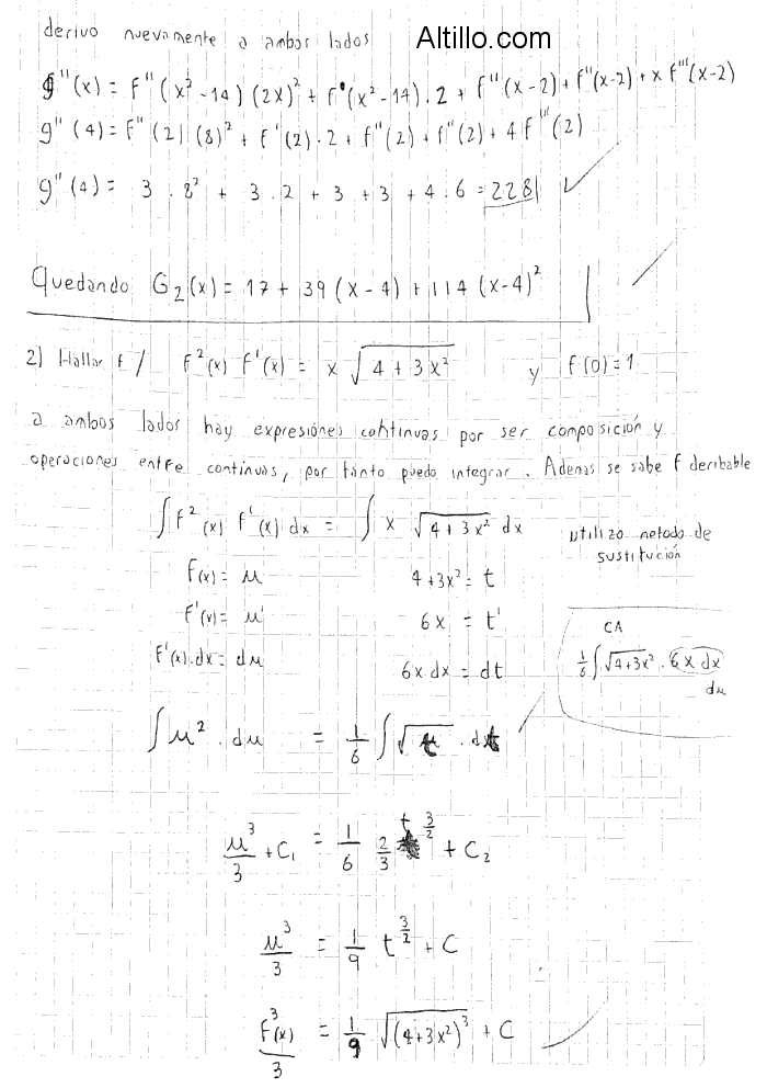
Altillo.com > Exámenes > UBA - CBC > Análisis


2º Parcial C  |  Análisis Matemático (2019)  |  CBC  |  UBA







 

Preguntas y Respuestas entre Usuarios: