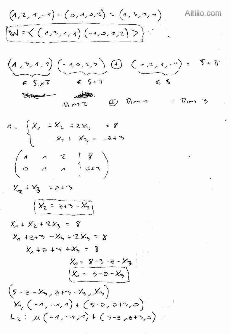
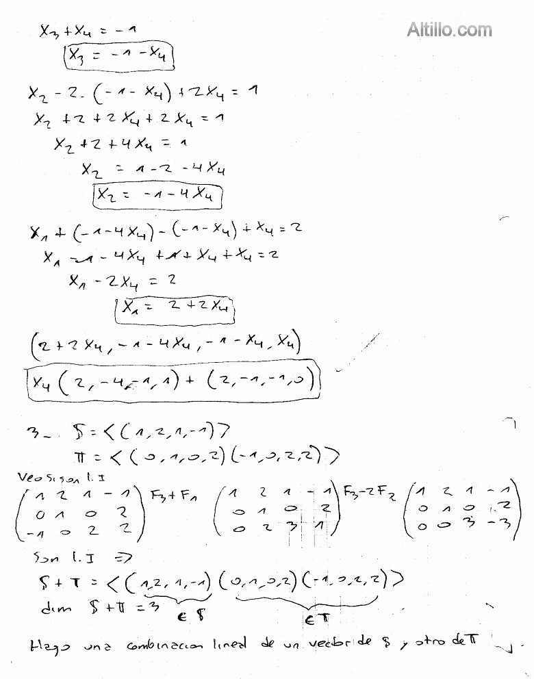
Altillo.com > Exámenes > UBA - CBC > Álgebra

Álgebra

1° Parcial

2° Cuat. de 2012 Altillo.com