Altillo.com > Exámenes > UBA - CBC > Álgebra

Álgebra

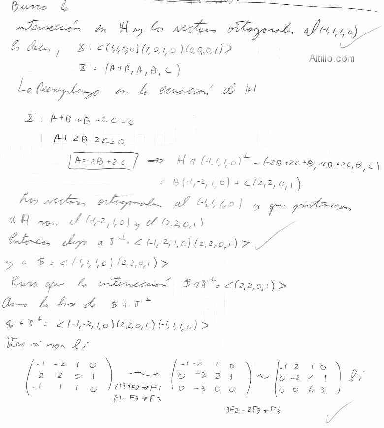
1° Parcial Desarrollado

1° Cuat. de 2011 Altillo.com