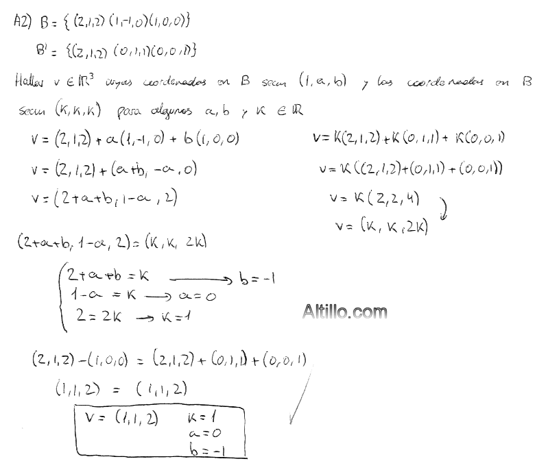
Altillo.com > Exámenes > UBA - CBC > Álgebra


1° Cuat. de 2014  | Recuperatorio (A)  |  Sede: Ciudad Universitaria  |  Profesor: Elia Werner y Hernán Múnch  |  Cátedra: Única