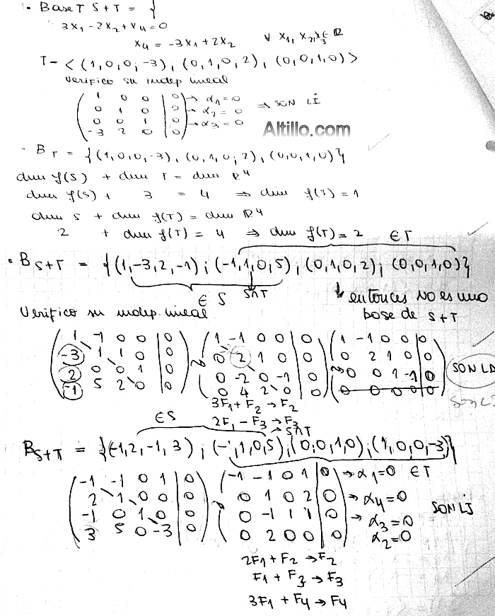
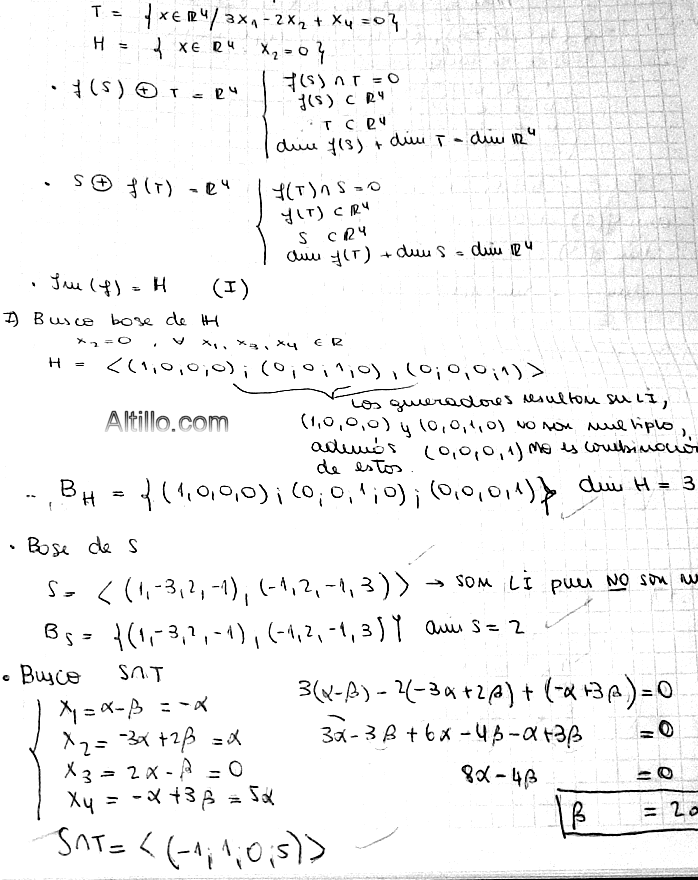
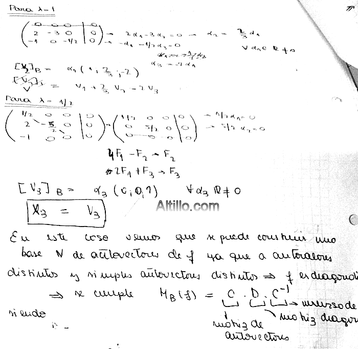
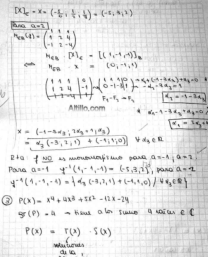
Altillo.com > Exámenes > UBA - CBC > Álgebra


2° Cuat. de 2014  |  2° Parcial (K)  |  Sede: San Isidro