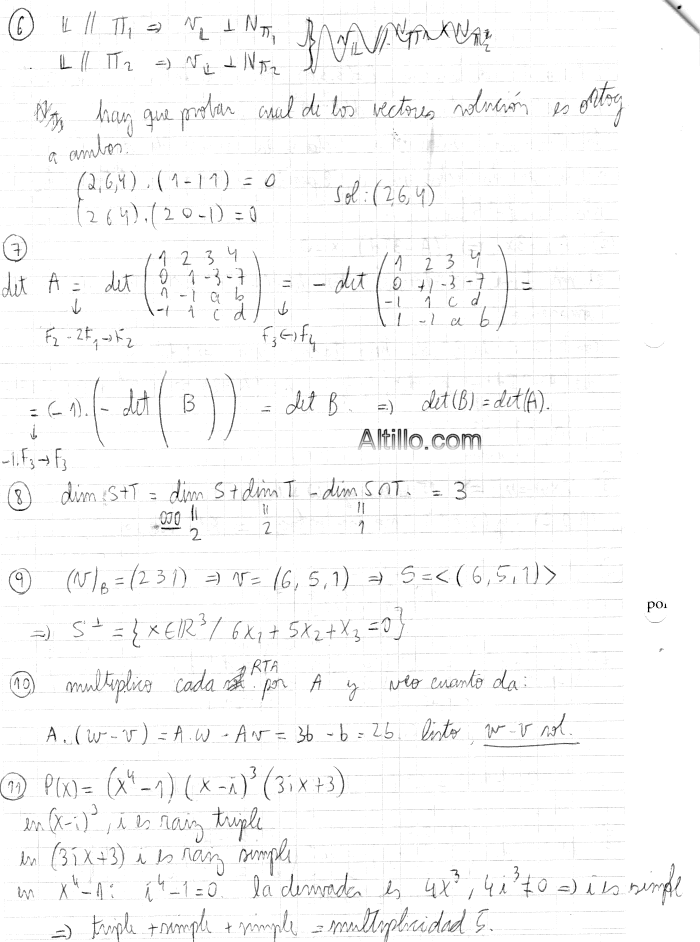
Altillo.com > Exámenes > UBA - CBC > Álgebra


Diciembre de 2013  |  Final (A)