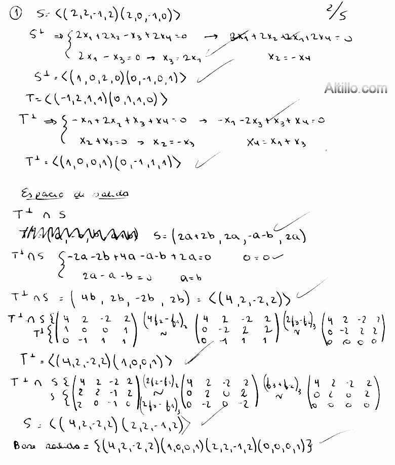
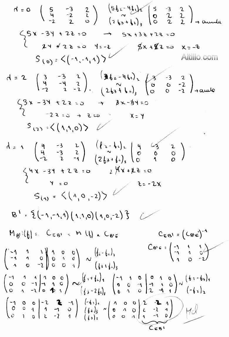
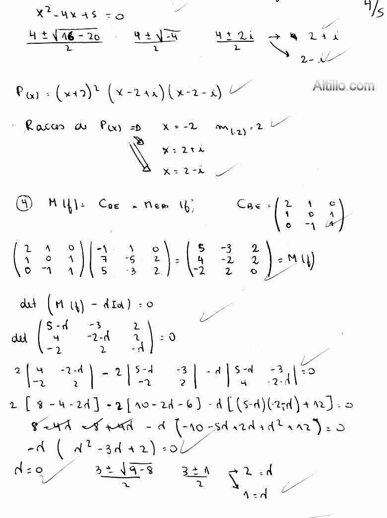
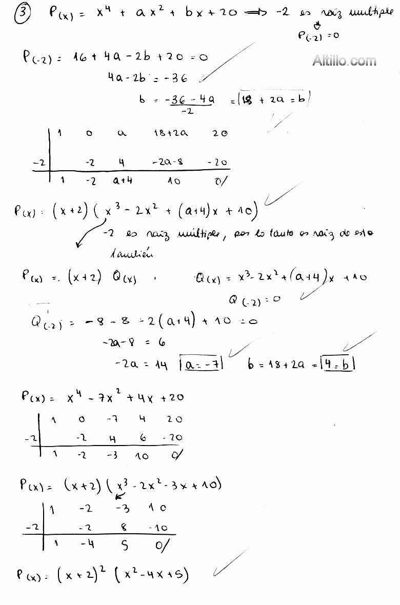
Altillo.com > Exámenes > UBA - CBC > Álgebra

Álgebra

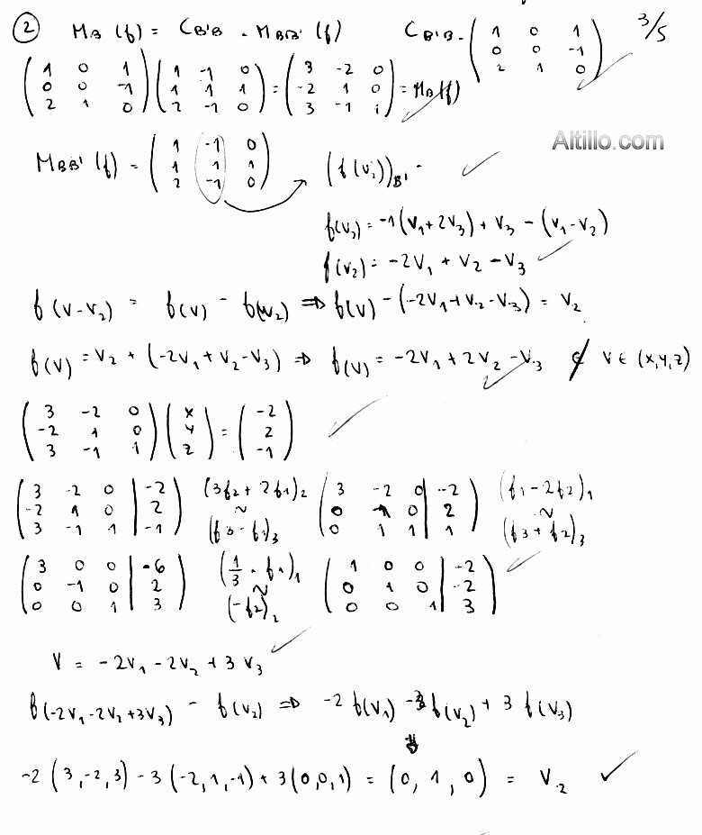
2° Parcial

1° Cuat. de 2013 Altillo.com