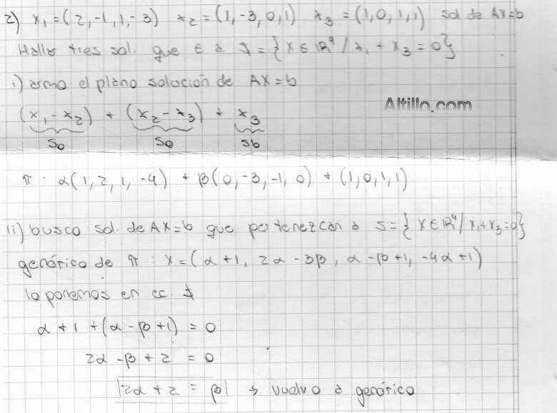
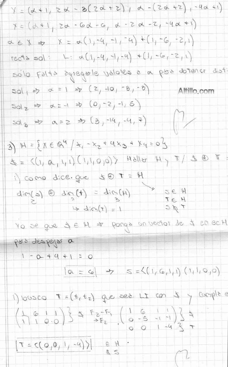
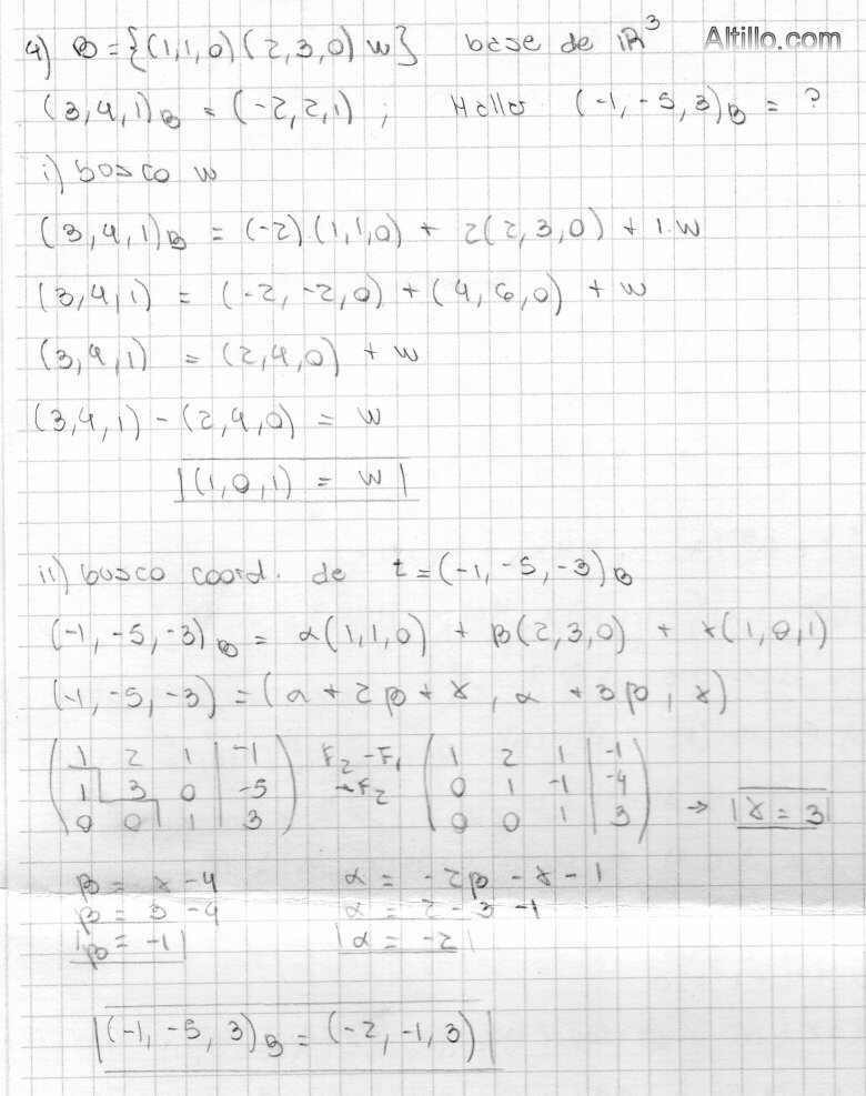
Altillo.com > Exámenes > UBA - CBC > Álgebra


1° Cuat. de 2013  |  1° Parcial (E)  |  Cátedra: Unica