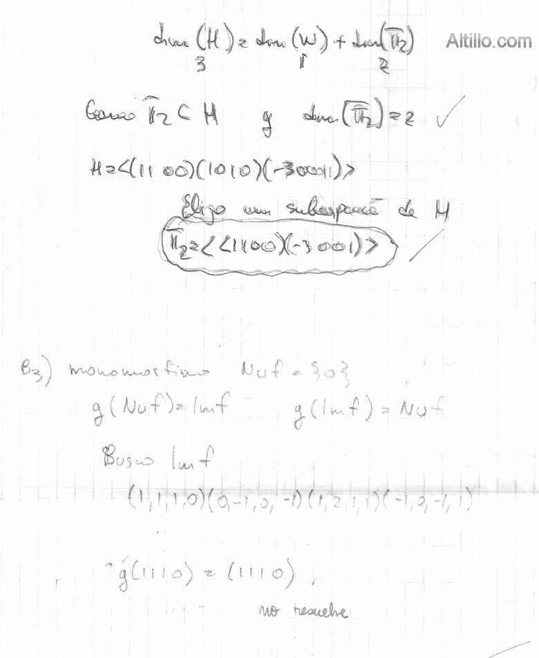
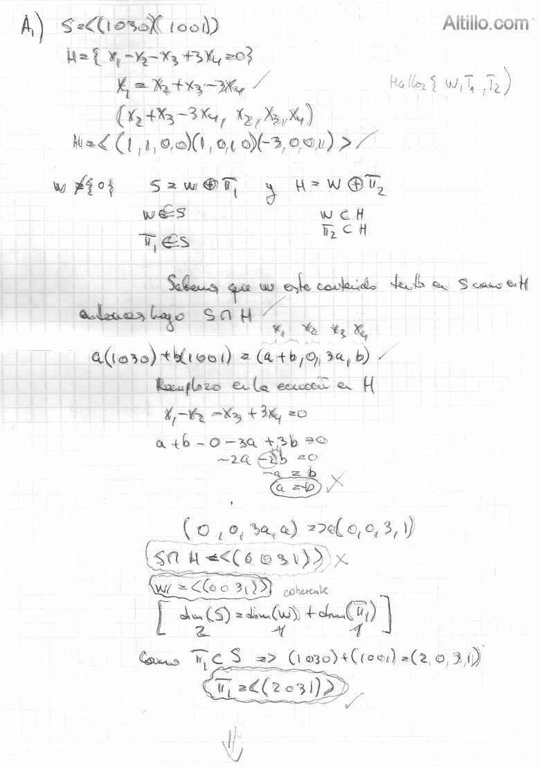
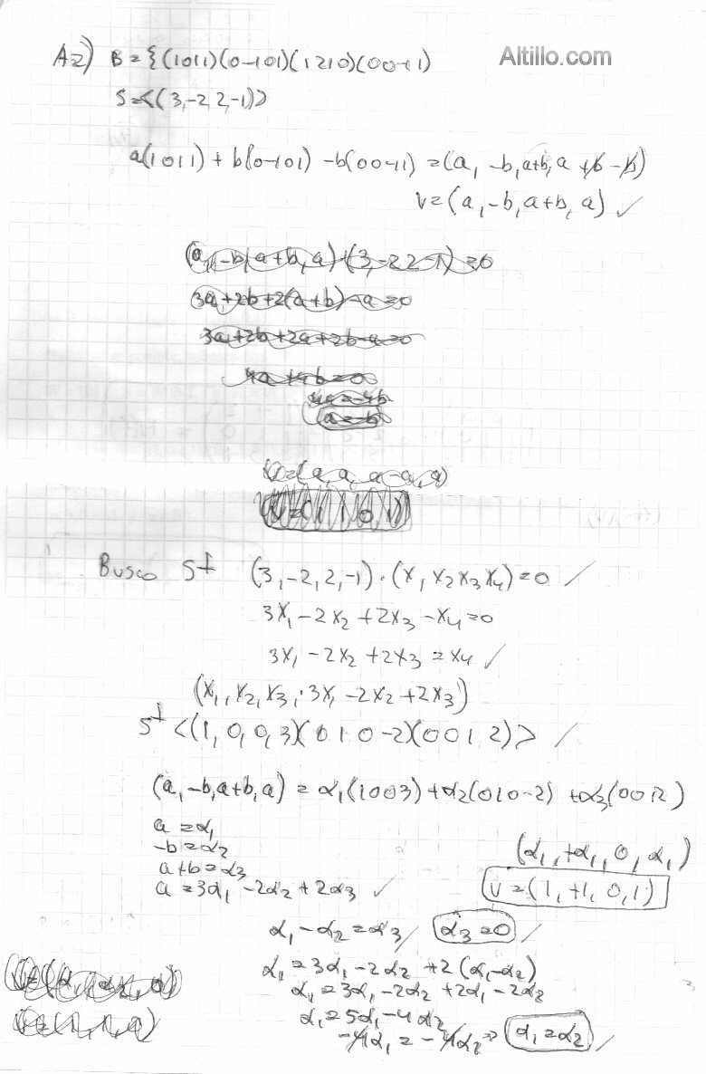
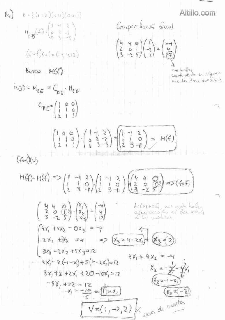
Altillo.com > Exámenes > UBA - CBC > Álgebra

Álgebra

2° Parcial (Recuperatorio)

2° Cuat. de 2012 Altillo.com