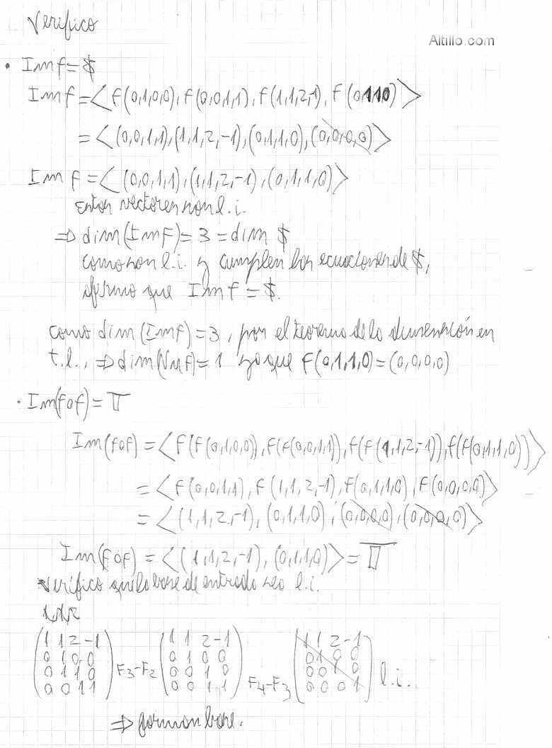
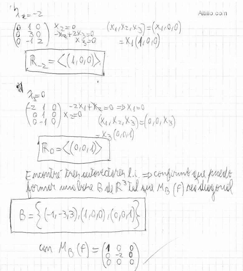
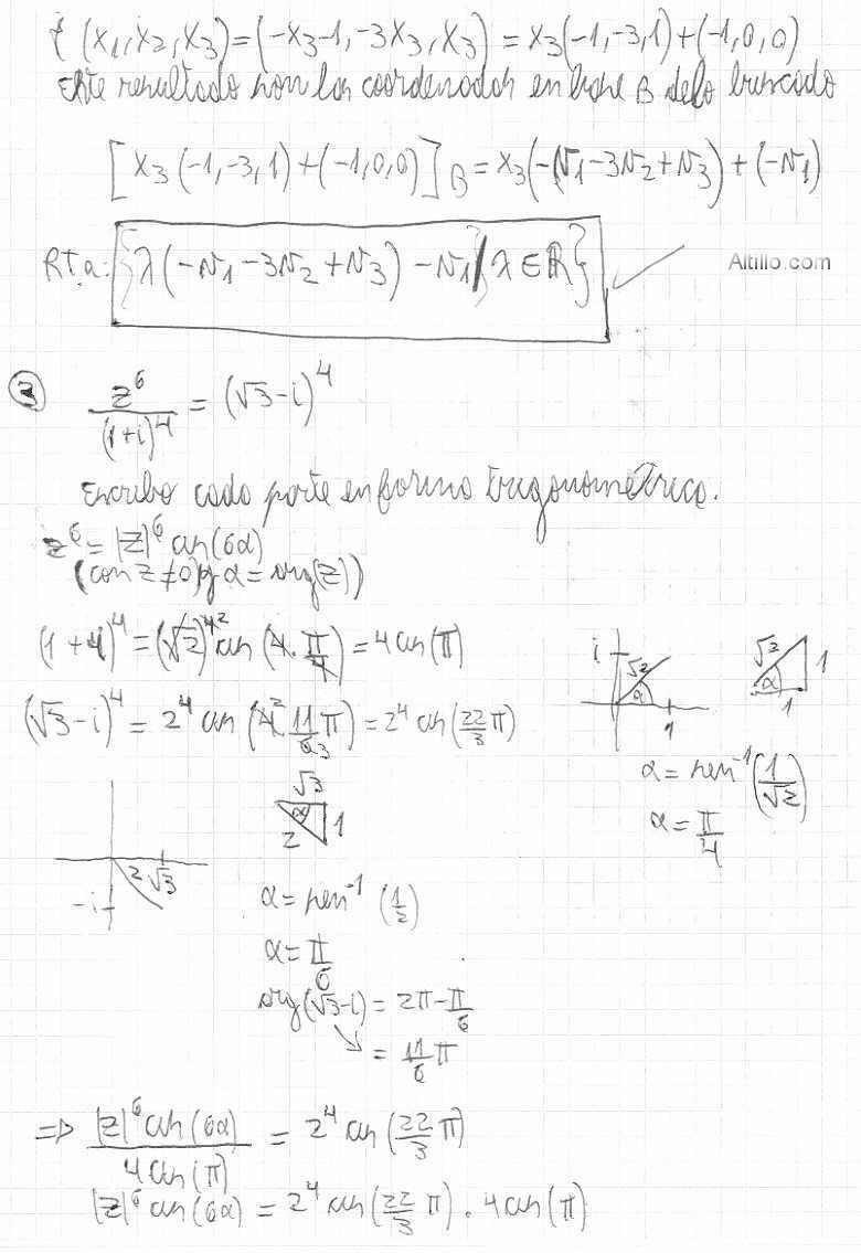
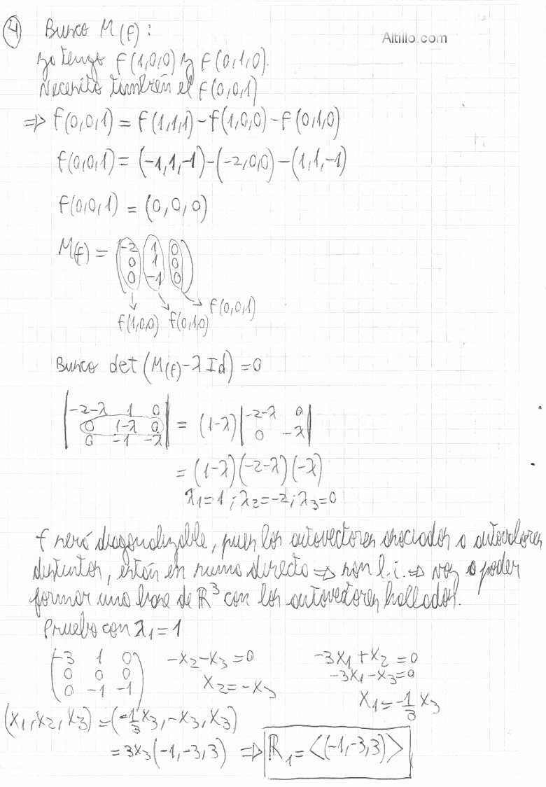
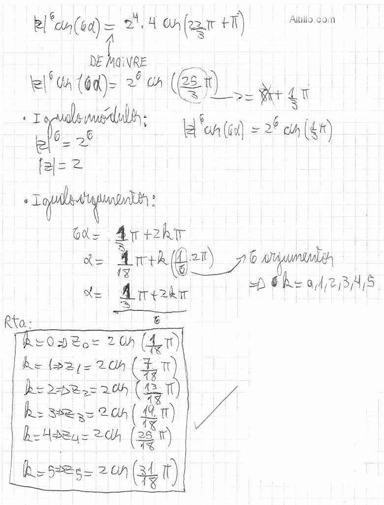
Altillo.com > Exámenes > UBA - CBC > Álgebra

Álgebra

2° Parcial

Sede: Ciudad Universitaria 1° Cuat. de 2011 Altillo.com