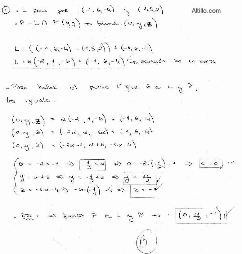
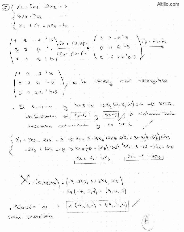
Altillo.com > Exámenes > UBA - CBC > Álgebra

Álgebra

1° Parcial

Sede: Avellaneda 2° Cuat. de 2011 Altillo.com