Altillo.com
>
Exámenes
>
UBA - CBC
>
Álgebra
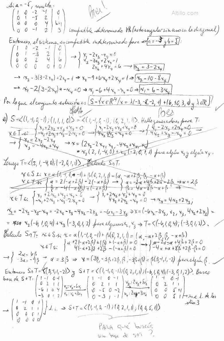
Álgebra
1
°
Parcial
Sede: Ciudad Universitaria
2
°
Cuat. de 2011
Altillo.com