Altillo.com
>
Exámenes
>
UBA - CBC
>
Álgebra
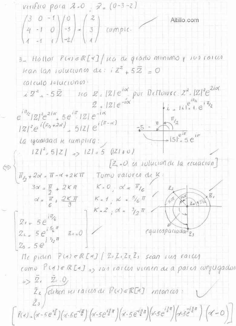
Álgebra
1° Parcial
1° Cuat. de 2010
Altillo.com