Altillo.com > Ex�menes > UBA - Ciencias Exactas > �lgebra

�lgebra

1� Parcial

Tema 1

Sede: Drago 1� Cuat. 2008 Altillo.com

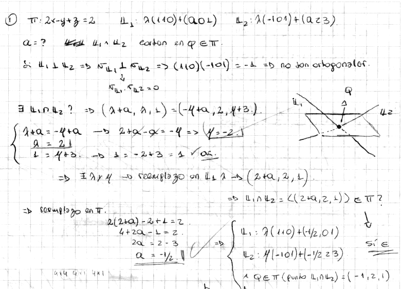
EJERCICIO 1

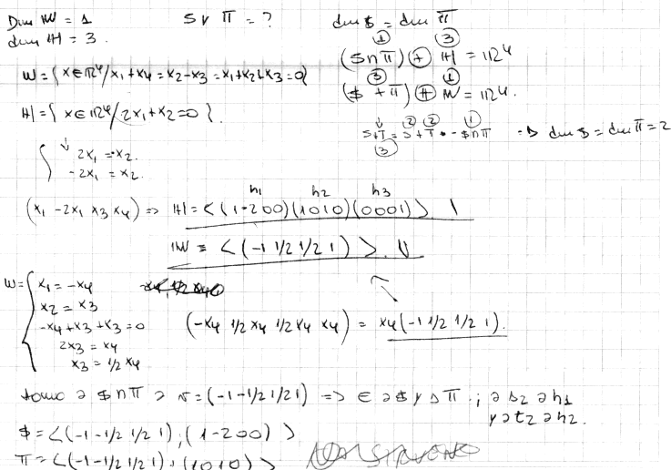
EJERCICIO 4a

EJERCICIO 4b