Altillo.com > Exámenes > UBA - CBC > Álgebra

Álgebra

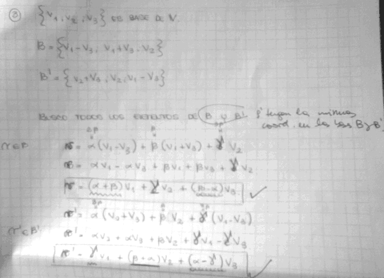
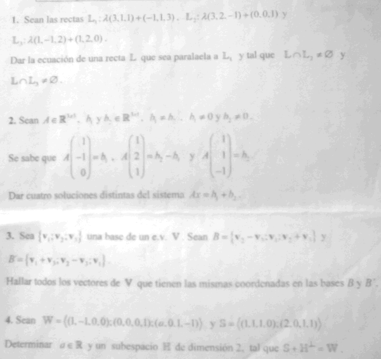
1º Parcial 2° Cuat. de 2008

Altillo.com