Altillo.com > Exámenes > UBA - CBC > Álgebra

Álgebra

1° Parcial (Con Respuestas)

2° Cuat. de 2007 Altillo.com

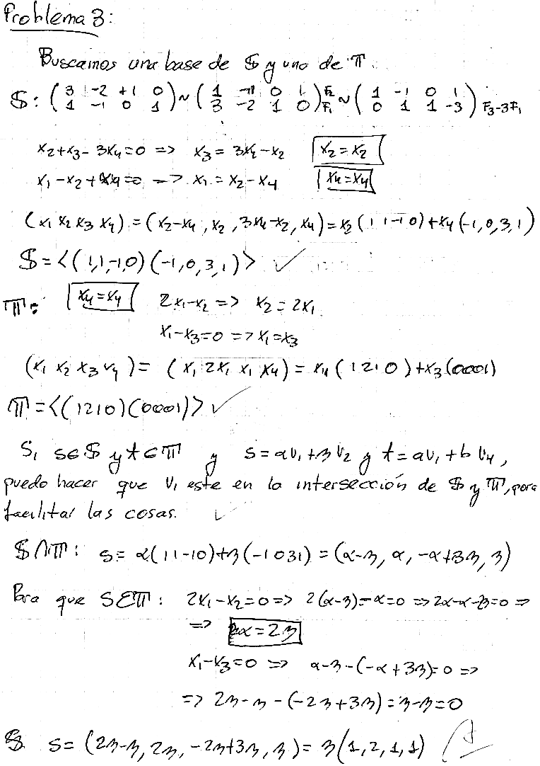
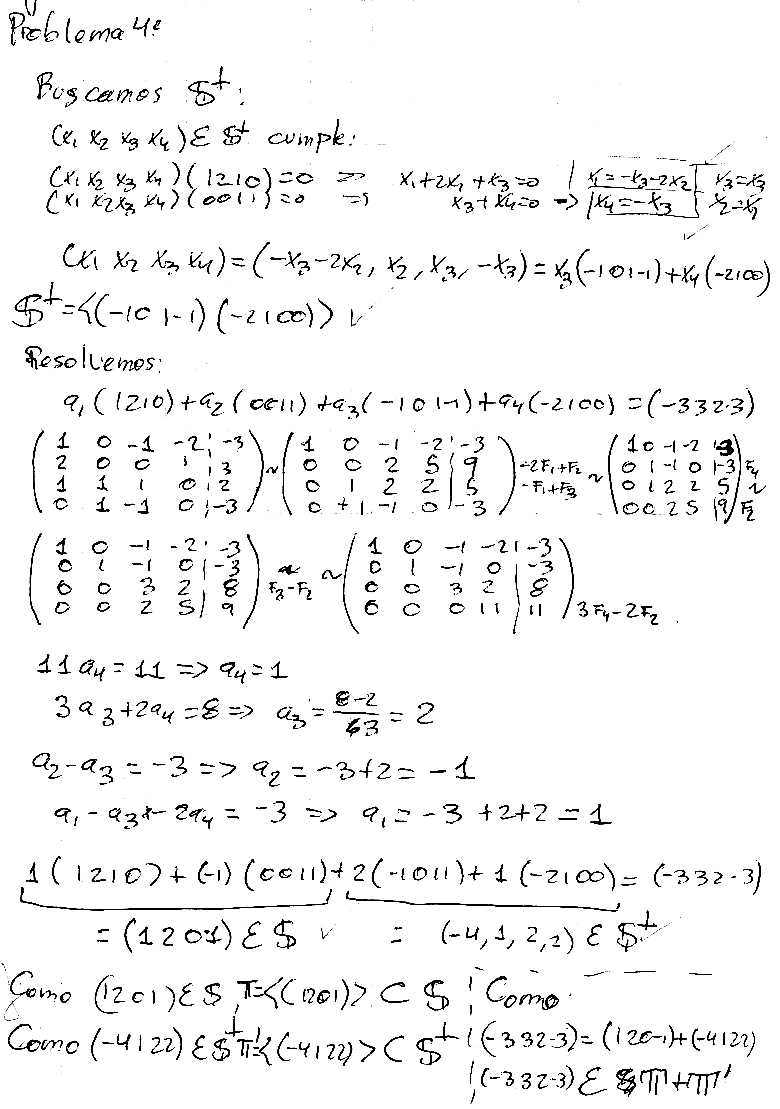
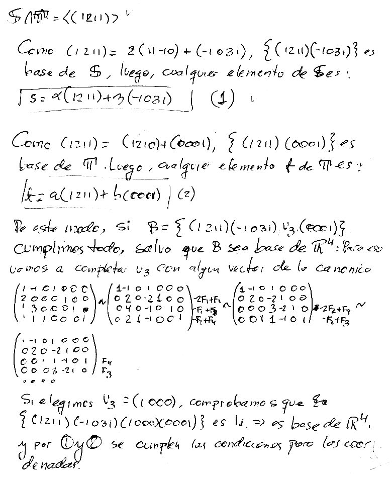
Respuestas :