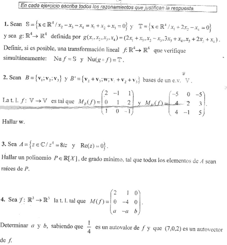
Altillo.com > Exámenes > UBA - CBC > Álgebra

Álgebra

2° Parcial

2° Cuat. de 2005 Altillo.com