Altillo.com > Exámenes > UBA - CBC > Álgebra
|
Álgebra |
2° Parcial |
2° Cuat. de 2004 | Altillo.com |
1) Sean
,
y
la t.l. dada por
.
Definir una t.l.
.
Tal que g no sea isomorfismo y f(g(S))=T.
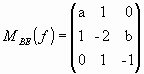
2) Sean B={(0,1,1);(1,0,1);(0,1,0)} y
la transformación lineal tal que
.
Encontrar a y b ε R tales que dim(Nu f)=1 y f(1,b,1)=(1,2,1-b).
3) Sea P(x)= x4 – 103 + 38x2 -74x + α. Determinar α para que 4+i sea raíz de P, y hallar todas las raíces de P.
4) Sean B={v1;v2;v3} y B´={v1+v2+v3;v1-v2;v2+v3}bases
de un espacio vectorial V y f:V→V la transformación lineal tal que
.