Altillo.com > Ex�menes > UBA - CBC > �lgebra
|
�lgebra |
1� Parcial |
1995 |
Altillo.com |
1) Sean en R� los planos
determinar todos los puntos de P2que
disten 2 de P1.
2) Si
calcular la dimensi�n de S a para cada valor de a en R.
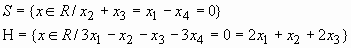
3) Sean los subespacios
hallar P � R 4 que verifique:
4)
es
una soluci�n de A .X = b con b � 0 y el conjunto de
soluciones del sistema A . X = 0 es
,
hallar todas las soluciones de A .X = 3 b.