Altillo.com > Exámenes > UBA - CBC > Álgebra

Álgebra

2° Parcial

Tema 1

2° Cuat. de 1994

Altillo.com

1) Sea .
Definir tal que fog = 0, dim Nu g = 1 y gof (1, 1, 1, 1) = (1. -1, 1, 1).

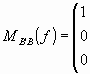
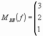
2) Sea tal que    
con B = {(1, 0, -1) ; (3, 2, 1) ; (0, 0, 1)} y E es la base canónica.
Hallar, si es posible, una base B de tal que        .

3) Hallar todas las raíces de.

4) es una base V de autovectores de f, correspondientes a los autovalores 1, 2 y -3, respectivamente.
Hallar los autovalores y una base de autovectores de gof, donde g es tal que y

Respuestas al pie de página

 


Respuestas
1) <(-1, 1, 0, -1) ; (0, 0, 1, 0)>
2)
3) 1 (raíz doble) ; ; -1 ;
4)Autovalores: {-30 ; 6 ; 30}
Base de autovectores: