Altillo.com > Exámenes > UNLU > Costos para Toma de Decisiones


1º Parcial B  | Costos para Toma de Decisiones (2019)  |  UNLU

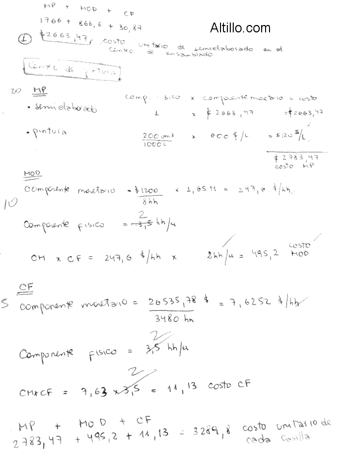
1.     



 

Preguntas y Respuestas entre Usuarios: