Altillo.com > Exámenes > UBA - Económicas > Análisis
|
Análisis |
1º Parcial |
Cátedra: Gutiérrez |
1° Cuat. de 2006 |
Altillo.com |
1) Escribir el conjunto
como
un intervalo o una unión e intervalos y hallar, si existen, el supremo y el
ínfimo de A.
2) Hallar la ecuación de la asintota vertical de
![]()
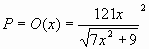
3) La función de oferta de cierto producto es.![]()
Hallar la oferta marginal para x=4
4) Dada
dar
dominio, intervalos de crecimiento y decrecimiento y extremos locales de f.