Altillo.com > Exámenes > UBA - Económicas > Análisis
|
Análisis |
2° Parcial |
Tema 2 |
1° Cuat. de 1997 |
Altillo.com |
1) Calcular![]()
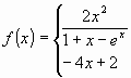
2) Estudiar la continuidad de la función f en x = 0, siendo.

3) La función de ganancia marginal por producir x unidades está dada por
.
Determinar en cuánto
aumentará la ganancia si la producción varía de 20 a 30
unidades.
4) Hallar el polinomio de Taylor de orden 3 de f(x) = sen
(3x) en x = 0.
Calcular un valor aproximado de sen (0,3) por medio del polinomio
hallado.
Respuestas abajo
Respuestas:
1) ![]()
2) f no es continua en x = 0
3) ![]()
4) ![]()