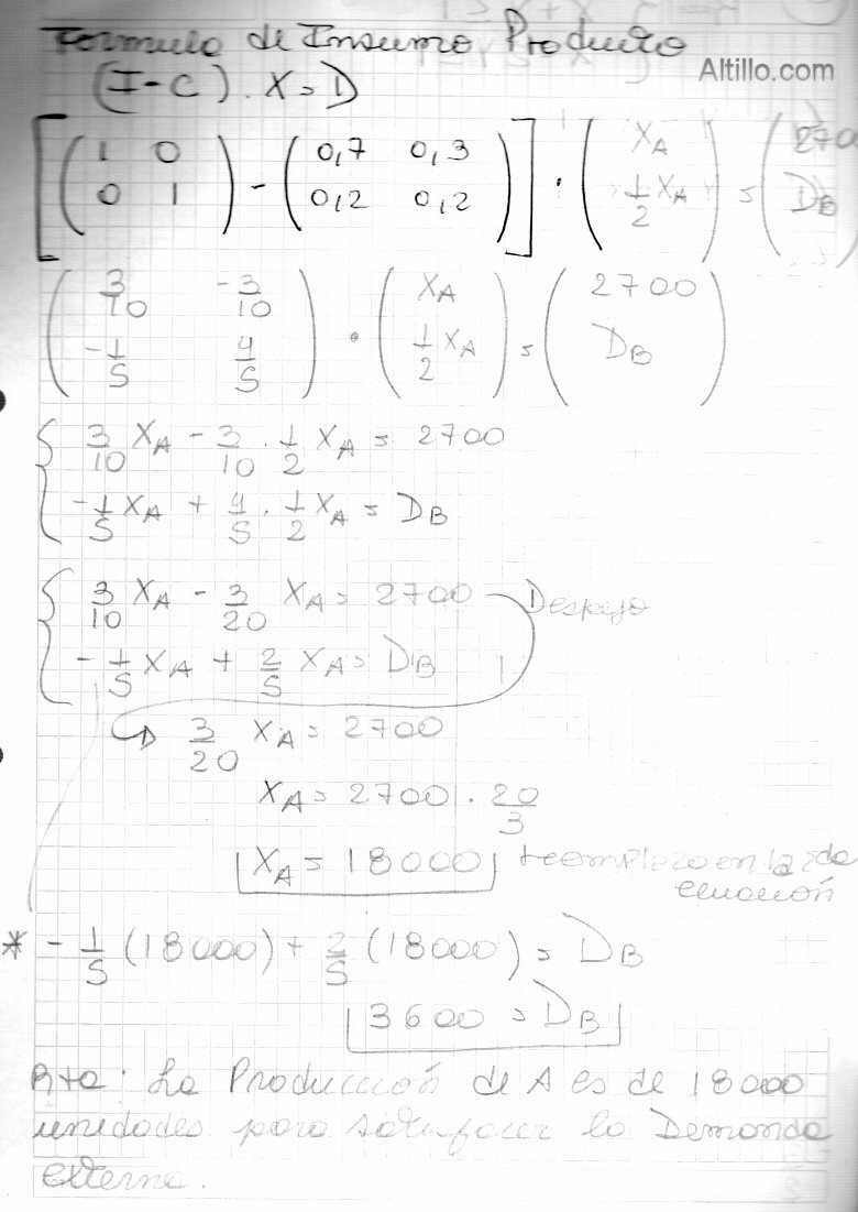
Altillo.com > Exámenes > UBA - Económicas > Álgebra

Álgebra

2º Parcial

Cátedra: Fauring (ex Gutiérrez) Sede: Avellaneda

1º Cuat. del 2012

Altillo.com