Altillo.com > Exámenes > UBA - Económicas > Álgebra
|
Álgebra |
1º Parcial |
Cat: Fauring |
Sede Paternal |
1º Cuat. de 2005 |
Altillo.com |
En cada ejercicio escriba todos los razonamientos que justifican la respuesta
1) L1 es la recta que pasa por (2, -1) y (-1, 3), L2 es la recta de dirección (2, 3) que pasa por (3, 4) y Q es el punto de L2 que pertenece al eje x.
Hallar una ecuación paramétrica de una recta paralela a L1 que pase por Q.
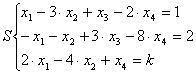
2) Determinar todos los valores de
para los cuales el sistema S es incompatible.

3) Un artesano vende aros de tres tamaños: grandes, medianos y pequeños. Los precios de venta de cada par son: $ 10, $ 8 y $ 2 respectivamente. El fin de semana anterior vendió 75 pares en total y recaudó $ 718.
¿Cuántos pares de cada tamaño vendió? Dar todas las posibilidades.
4) Dados el subespacio
y el vector v = (1, 1, 2, 2), hallar una base B de S y expresar, si es posible, v como combinación lineal de los vectores de B.