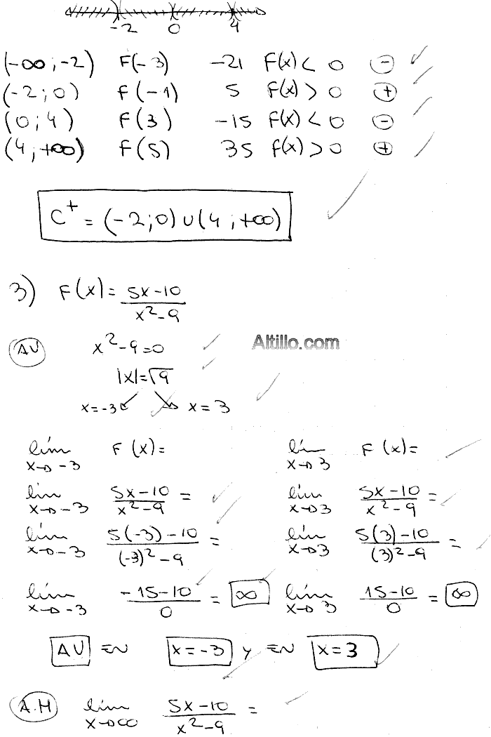
Altillo.com > Exámenes > UBA - CBC > Matemática


1° Cuat. de 2014  |  1° Parcial (Z15)  |  Sede: Paternal