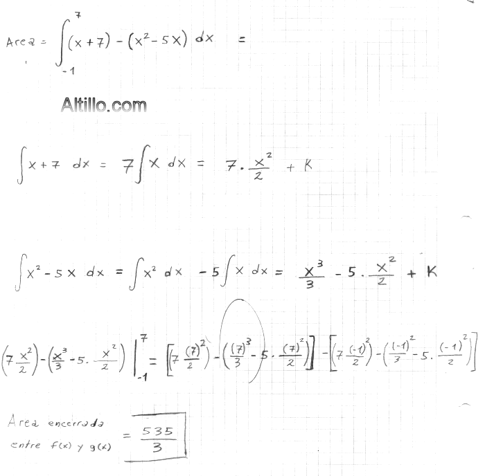
Altillo.com > Exámenes > UBA - CBC > Matemática


Curso de Verano de 2013  |  2° Parcial (Z16)