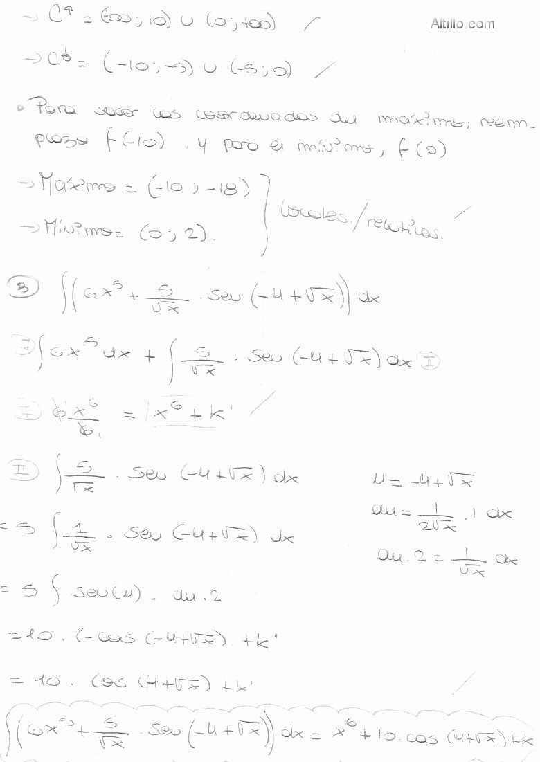
Altillo.com > Exámenes > UBA - CBC > Matemática

Matemática

2º Parcial

1º Cuat. de 2011

Altillo.com