Altillo.com > Exámenes > UBA - CBC > Matemática
|
Matemática |
1º Parcial |
Cátedra: Gutiérrez | Sede Montes de Oca |
2° Cuat. de 2006 |
Altillo.com |
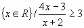
1) Escribir como intervalo o unión de intervalos el conjunto A=![]()
2) Sabiendo que la recta de ecuación Y=5X+b (bЄR) interseca a
la parábola
en
el punto (1, -6); encontrar el otro punto del plano donde se intersecan.
3)Utilizando límites, analizar la existencia de asíntotas verticales y
horizontales de F(x)=
![]()
4) Sea F(x)=
Determinar los X Є
tales que F(x)= -2
Respuestas:
1) A= (-
2)
[9;
+
)
2) (4; 9)
3) Dom:
-
{-1/3; 2}
A.H. Y=1/3
A.V. X= -1/3 X=2
4) X= {-
;
3
;
7
}
![]()