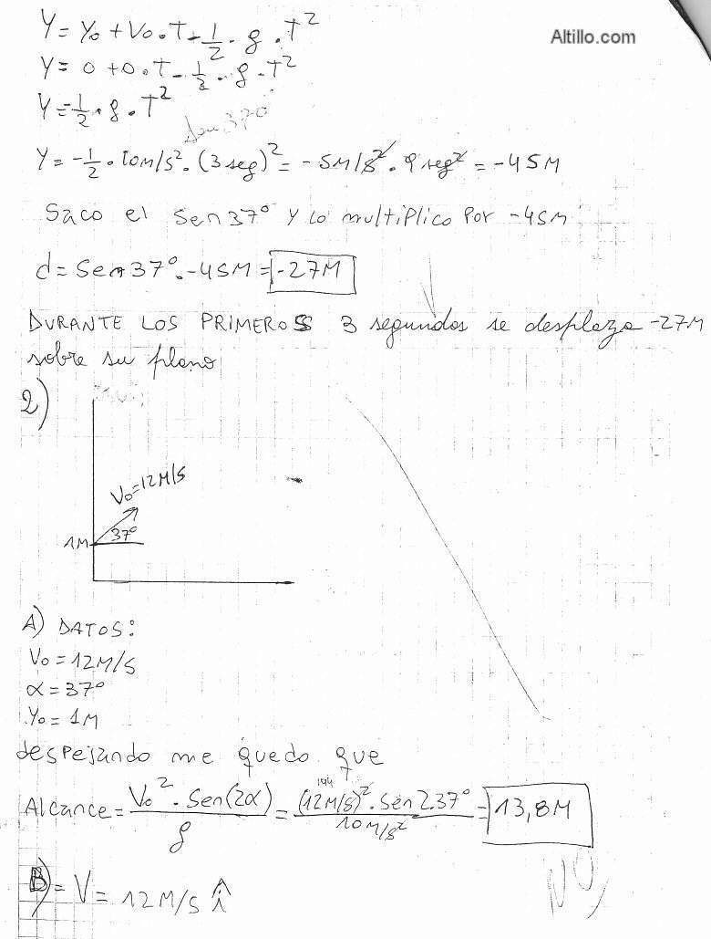
Altillo.com > Exámenes > UBA - CBC > Física

Física

1o Parcial

Tema C 1° Cuat. de 2012

Altillo.com