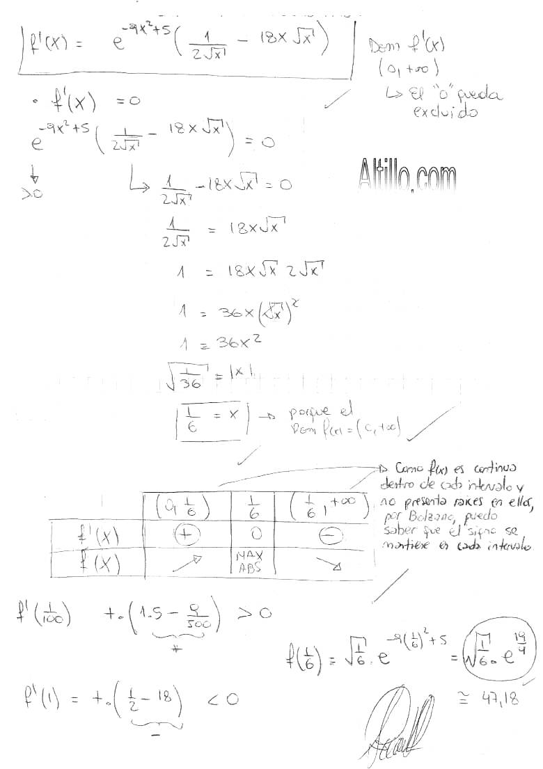
Altillo.com > Exámenes > UBA - CBC > Análisis


1º Parcial B  |  Análisis Matemático (Cátedra Unica - 2014)  |  CBC  |  UBA  |