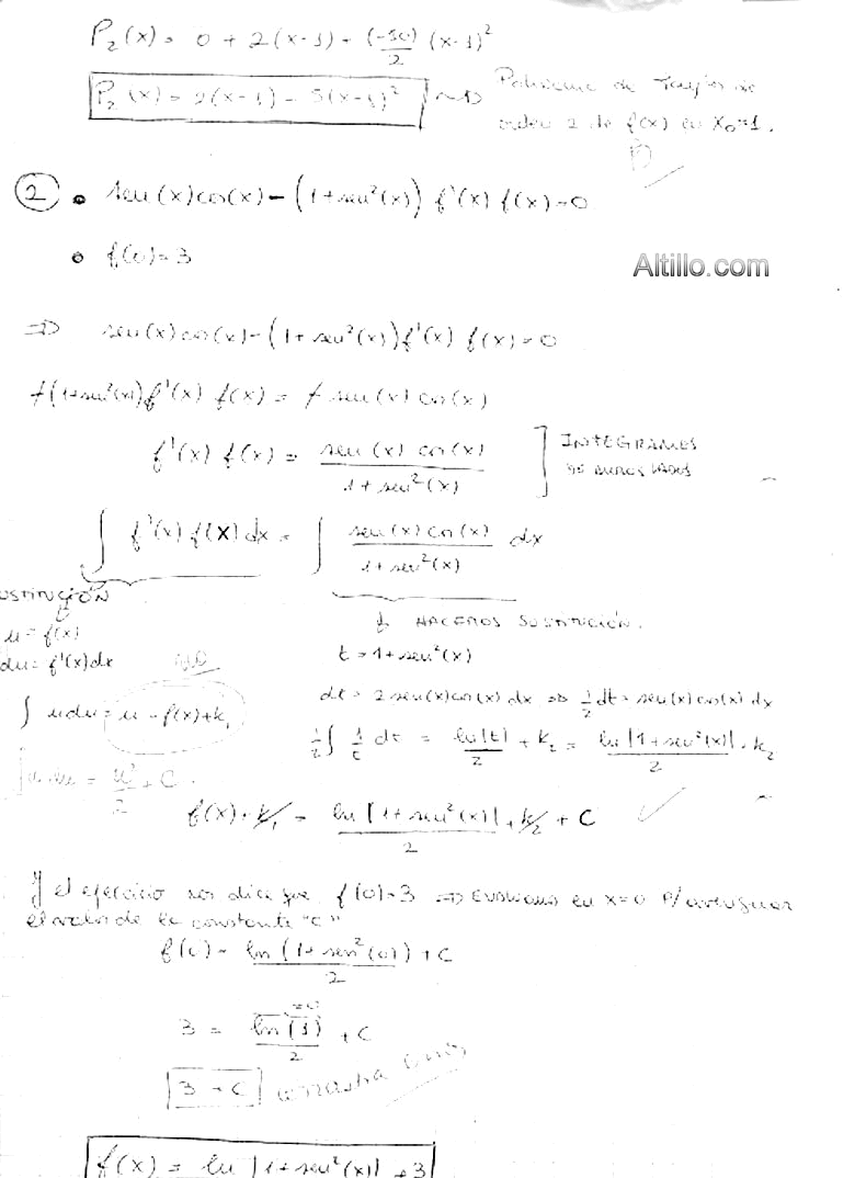
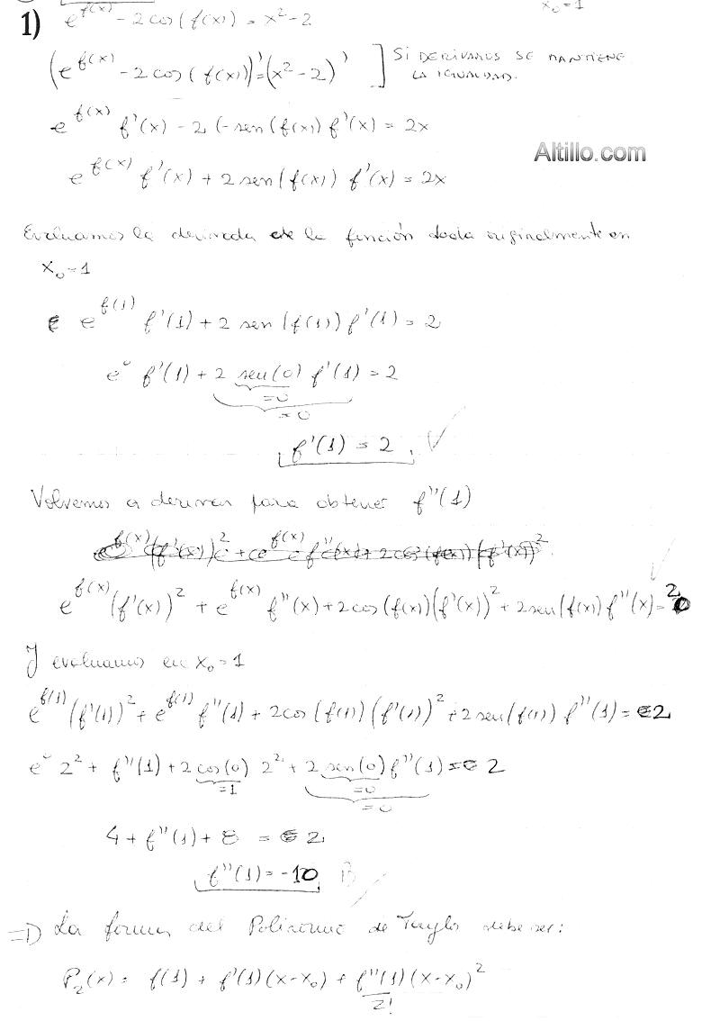
Altillo.com > Exámenes > UBA - Ciencias Exactas > Análisis I

Análisis I

2° Parcial

Cátedra única

2º Cuat. de 2010

Altillo.com