Altillo.com > Ex�menes > UBA - CBC > An�lisis
|
An�lisis |
1� Parcial |
Tema 2 |
2� Cuat. de 1998 |
Altillo.com |
1) Analizar la existencia de l�mite de la siguiente sucesi�n
,
definida por:

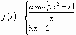
2) Hallar a y b de tal manera que
,
resulte derivable, siendo:

3) Hallar la ecuaci�n de la recta tangente a la curva de la ecuaci�n:
![]()
4) Sea
,
definida por
.
Probar que ![]()
Respuestas:
1) 
2)
y ![]()
3) ![]()
4)
es un m�ximo
calculamos 
Por lo tanto, tenemos una funci�n continua en
,
tambi�n derivable que alcanza un valor m�ximo en
y vale en ese punto menos de
entonces
para todo
.