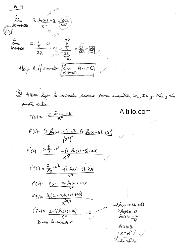
Altillo.com > Exámenes > UBA - CBC > Análisis


1º Parcial I  |  Análisis Matemático (2017)  |  CBC  |  UBA









 

Preguntas y Respuestas entre Usuarios: