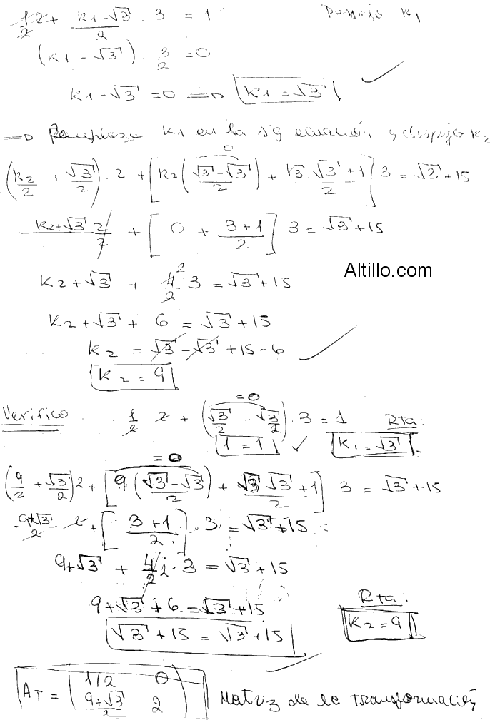
Altillo.com > Exámenes > UBA - CBC > Álgebra


2º Parcial J  |  Algebra (2018)  |  CBC  |  UBA







 

Preguntas y Respuestas entre Usuarios: