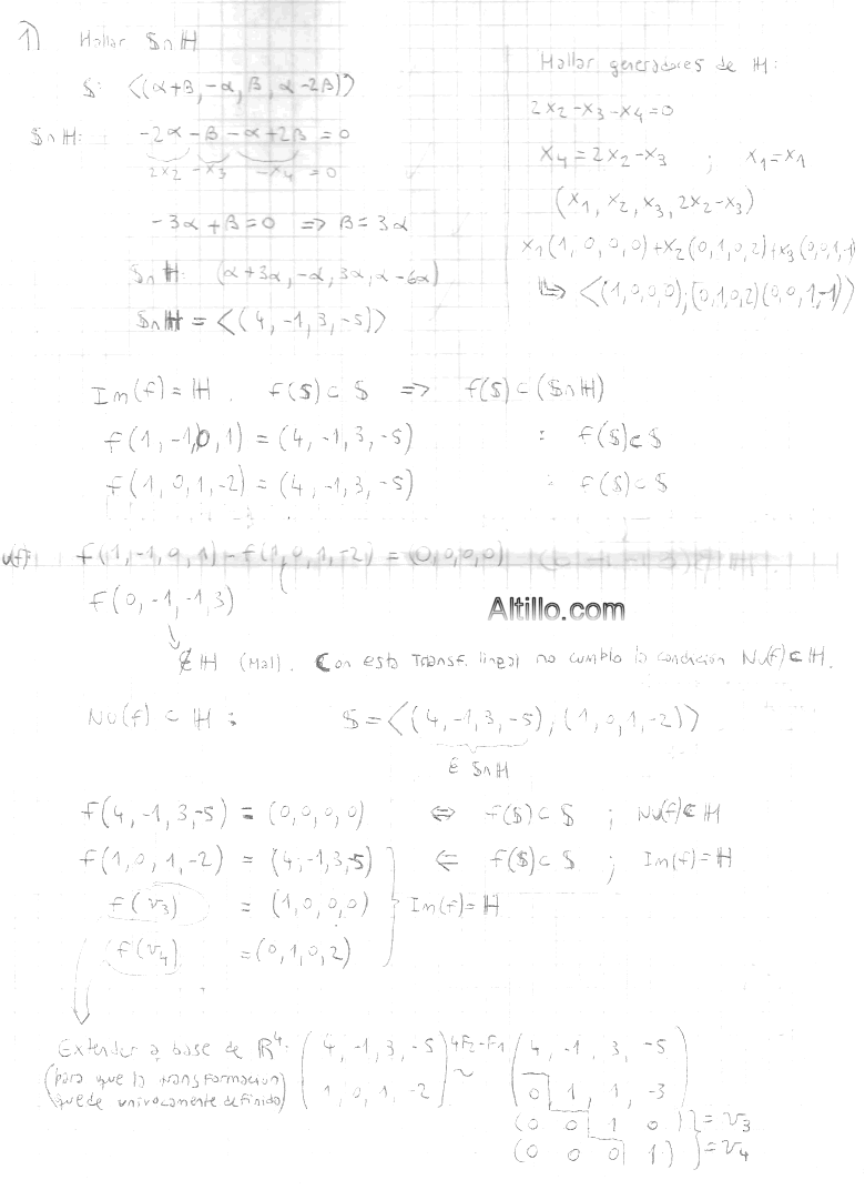
Altillo.com > Exámenes > UBA - CBC > Álgebra


1° Cuat. de 2014  |  2° Parcial (B)  |  Sede: Montes de Oca  | Cátedra: Unica