Altillo.com
>
Exámenes
>
UBA - CBC
>
Álgebra
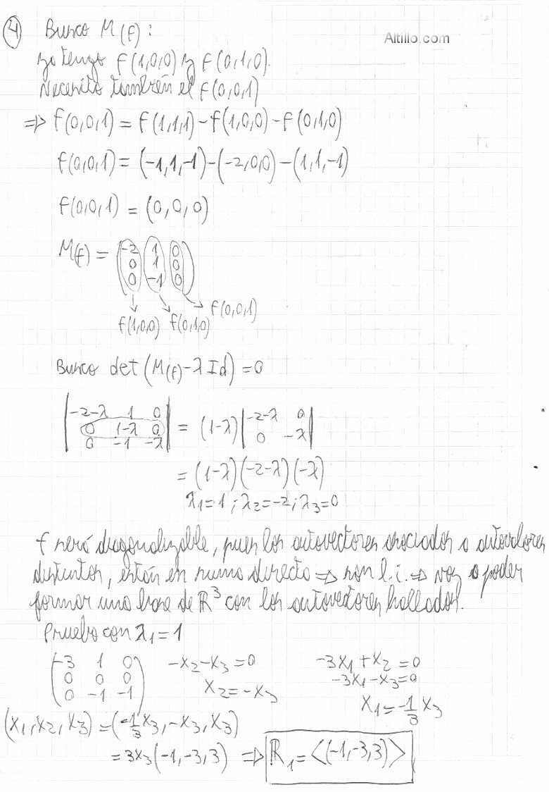
Álgebra
2° Parcial
Sede: Ciudad Universitaria
1° Cuat. de 2011
Altillo.com