Altillo.com > Exámenes > UBA - CBC > Álgebra

Álgebra

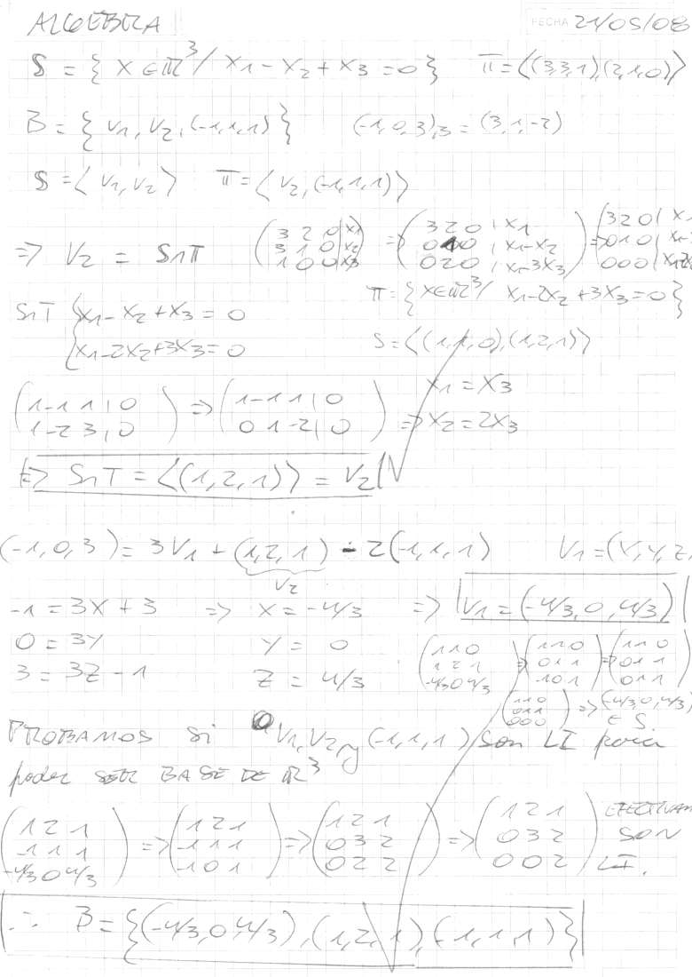
1º Parcial 1° Cuat. de 2008

Altillo.com