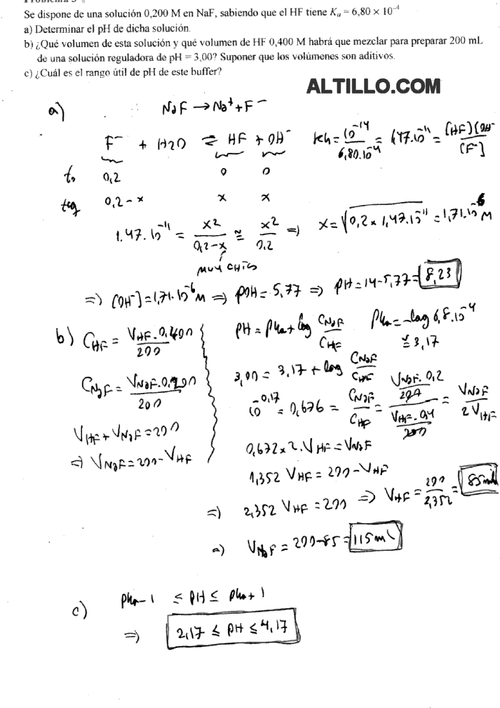
Altillo.com > Exámenes > UNLU > Química I


2º Parcial A  |  Química I (2021)  |  UNLU




 

Preguntas y Respuestas entre Usuarios: