Altillo.com > Exámenes > UBA - Económicas > Estadística


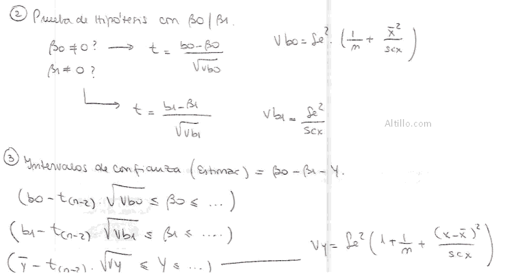
2° Cuat. de 2013  |  Resumen de la Formulas de Regresión y Correlación  |  Sede: Paternal  |  Profesor: Nadia Barruffladi  |  Cátedra: Capriglioni